由于生物入侵对生态系统功能、资源可利用性、人类健康和经济可持续发展的严重威胁,使得生物入侵成为当今生态学研究重要领域。已有研究表明功能群组成对入侵存在着重要的影响,由于抑制相似机制,定居物种对相似功能群的外来物种将产生明显的抑制作用。但是,除了功能群特性外,功能群的优势度也被证明对入侵将会产生重要的影响作用。同时,由于定居物种和入侵物种之间主要通过竞争资源产生相互作用,那么,研究资源的变化对定居物种功能群抵抗入侵将如何影响,对于准确的预测和防控生物入侵,将具有重要的理论意义。
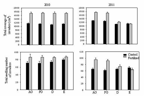
台州学院省植物进化生态学与保护重点实验室的王江副教授,通过设置不同的土壤氮素水平,在每个氮素水平上,设立物种丰富度为8个群落,分别包含4个功能群,通过控制每个功能群内物种的植株数量,设计了不同优势功能群(保持物种丰富度、功能群丰富度和功能群特性一致)的群落。同时按照4个功能群,选择20个入侵物种(每个功能群5个物种),研究优势功能群和土壤氮素对外来物种入侵的影响。研究结果表明,氮素增加促进了总的入侵,而优势功能群的变化对总的入侵没有明显的影响。在功能群水平上,入侵物种在具有相同优势功能群的群落中受到明显的抑制,但是同一功能群内的各入侵物种并没有呈现出一致的规律。当氮素增加时,与优势定居功能群相似的入侵功能群,其入侵受到明显的促进,但是功能群内的各入侵物种并没有呈现出一致的规律。研究结果表明抑制相似机制可能更适用于功能群水平,但是对于每个入侵物种并不适用,优势功能群和资源水平变化对不同物种,可能产生不同的影响。
相关成果发表于2013年PLOS ONE杂志8卷,台州学院为第一完成单位,王江为第一完成人。
该研究得到了国家自然科学基金和浙江省自然科学基金的资助。
(浙江省植物进化生态学与保护重点实验室供稿)

优势功能群和土壤氮素添加对入侵物种总数量和植株总数量的影响
文章链接:
http://www.plosone.org/article/info%3Adoi%2F10.1371%2Fjournal.pone.0077220#pone-0077220-g004